还在头疼每月房贷还款,这个房贷计算机让你一目了然
本文分享自华为云社区《房贷计算器-从原理、计算到提前还款和可视化-云社区-华为云》,作者:蜉蝣与海。
前言最近各地楼市震荡不断,2022年12月份以来不少银行纷纷降息,随后更是引发了一波提前还款的大潮。不少地区楼市相关的微信小程序也自带了贷款计算器、提前还款计算器等工具,通过这些工具人们可以很容易的了解每期还款本金、等额本金/本息的利息差异、提前还款节省利息的问题。
了解这些计算工具的相关原理,可以做到心中有数,临危不慌。
注:
本文对应代码和脚本发布至华为云生态社区AIGallery:贷款计算器-从原理、公式到提前还款和可视化→AIGallery_Notebook详情_开发者_华为云,欢迎开发者前往体验,文中涉及所有代码可以直接通过页面进入ModelArtsCodeLab运行。使用该脚本稍加修改后即可尝试开发一个适合自身地区政策的贷款计算提前还款小程序。
本文只是研究贷款生成、提前还贷方面的相关计算原理,不构成任何投资理财方面的建议。
先来看个使用工具计算提前还款的效果先来看个使用工具计算提前还款的效果,再来探讨相关原理。
贷款87.5万,利率4.9%还20年,使用等额本息的方式,在第13个月提前还10万,使用月供不变年限缩短方式,在CodeLab中运行下述程序后可以计算提前还款节省利息,和微信上提前还款小程序计算结果一致:
a,b,c,d,e=extraPaidWithFixedPaid(12*20,875000,0.049,False,[(13,100000)])drawDiagramExtraPaid(12*20,a,b,d,e)drawTableExtraPaid(12*20,a,b,c,d,e)[10:20]



如图,缩短了40个月(3年4个月)账期,次月还款额以及节省利息等都与小程序计算一致。

了解过贷款的小伙伴都知道,贷款有等额本金和等额本息这两种方式,前者每月还款的本金相同,利息逐月递减;后者每月还款额相同,刚开始还款时利息还的多,后面本金还的逐渐增多。参考网上讨论利息计算的诸多文章,两个模型理论上,都有下列共同特点:
利息按月利率计算,一月一期
按期还款情况下当月应还利息只由未还完的本金决定
每月还款额除了未还本金产生的全部利息外,剩下的金额应该全部用于偿还本金
像最近部分银行提出的先息后本(先还利息若干年,最后一次性偿还本金)则不符合这个条件。
还款额的计算知乎文章为什么买房贷款,最好选择等额本金?中提到了一个例子:
通过描述可知,贷款87.5万,贷20年,等额本息每月还款5726.39元,等额本金首月还款7218.75元。假设文中的贷款未使用公积金,计算时利率为固定利率,根据网上的贷款计算器可知此时的贷款年利率为4.9%。
以这个例子为例,简单说明等额本金和等额本息的计算方法:
首先贷20年,按月分期,贷款为
20∗12=240期。
年利率4.9%,月利率为
0.049÷12=0.004983即0.4083%。
等额本金情况下:
每月应还本金=总本金÷期数
每月应还利息=剩余本金×月利率
每月还款额=每月应还本金+每月应还利息
在这个例子中:
每月应还本金为
875000÷240=3645.83元
首月应还利息为
875000×0.4083元
首月应还:
3645.83+3572.92=7218.75元。
第2月剩余本金为
875000−3645.83=871354.17元。
第2月应还利息为
871354.17×0.4083元。
第2月应还:
3645.83+3558.03=7203.86元。
将这段逻辑抽象为代码有:
(months,principal,rate):month_rate=rate/12monthly_capital=principal/monthsinterests=[0]*monthscapitals=[0]*monthsleft_principal=[0]*monthsleft_principal[0]=principaltotal_payment=[0]*monthsforiinrange(0,months):interests[i]=left_principal[i]*month_ratecapitals[i]=monthly_capitaltotal_payment[i]=monthly_capital+interests[i]ifi+1months:left_principal[i+1]=left_principal[i]-monthly_capitalreturncapitals,interests,total_payment
为了便于查看再封装一个打印成表格的函数:
importpandasaspddefdrawTable(months,fn,*args,**kwargs):capitals,interests,total_payment=fn(months,*args,**kwargs)paid_capital=[0]*monthspaid_interests=[0]*monthspaid_capital[0]=capitals[0]paid_interests[0]=interests[0]forxinrange(1,months):paid_capital[x]=paid_capital[x-1]+capitals[x]paid_interests[x]=paid_interests[x-1]+interests[x]origin=([total_payment,capitals,interests,paid_capital,paid_interests])(,columns=['还款额','还款本金','还款利息','已还本金','已还利息'],index=(1,months+1))
我们运行一下知乎上的例子,看看头几年还款的本金、利息等:
_format='{:.2f}'.formatdrawTable(12*20,averageCapital,875000,0.049)[0:10]
可以看到和文中描述一致,使用微信房小团小程序,也可以打印出一致的结果。
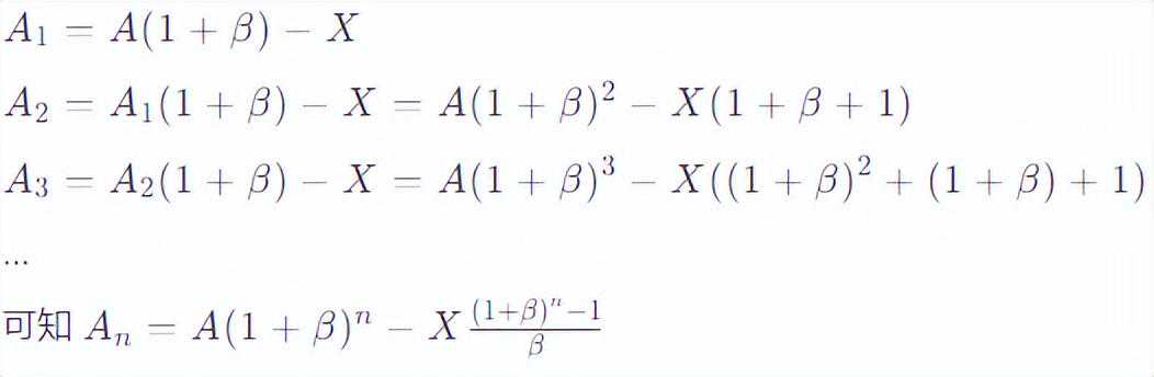
等额本息的计算方法有些复杂,参考用Python深度解读房贷利率文中的解法,设A为本金,第i个月月末所欠银行本金为Ai,每月所还贷款总额为X,月利率为β,则有:

由于最后一期时剩余本金为0,可反解得:

这里m为总期数(在刚刚的例子中,m=240)。而后就可以使用与等额本金计算中类似的逻辑,从第一期所还利息开始,反推每期的利息与本金。具体代码如下:
defaverageCapitalPlusInterest(months,principal,rate):month_rate=rate/12monthly_payment=principal*month_rate*(1+month_rate)**months/((1+month_rate)**months-1)interests=[0]*monthscapitals=[0]*monthsleft_principal=[0]*monthsleft_principal[0]=principaltotal_payment=[0]*monthsforiinrange(0,months):total_payment[i]=monthly_paymentinterests[i]=left_principal[i]*month_ratecapitals[i]=total_payment[i]-interests[i]ifi+1months:left_principal[i+1]=left_principal[i]-capitals[i]returncapitals,interests,total_payment
我们运行一下知乎上的例子,看看等额本息模式下第8年附近,到底还了多少利息和本金:
drawTable(12*20,averageCapitalPlusInterest,875000,0.049)[90:100]

可以看到第96期(第8年年终)时,本金还了25万,但利息已经还了近30万了,和之前文中例子的数据是可以对得上的。
刚刚我们已经将还款的各项数据以表格的形式打印。此外我们还可以借助python的能力,打印还款的柱状图。
importnumpyasnpdefprintStatistics(capitals,interests,total_payment,months):print("总本金:"+str((capitals)))print("总利息:"+str((interests)))print("总利息/总本金"+str((interests)/(capitals)))print("首月还款%.2f末月还款:%.2f"%(total_payment[0],total_payment[months-1]))defdrawDiagram(months,fn,*args,**kwargs):capitals,interests,total_payment=fn(months,*args,**kwargs)printStatistics(capitals,interests,total_payment,months)month_array=(1,months+1,1)height=(month_array,capitals,width=0.2,align='center',color='red')(month_array,interests,width=0.2,align='center',color='blue',bottom=capitals)()再跑一下知乎的例子,绘制等额本金和等额本息的还款柱状图:
drawDiagram(12*20,averageCapital,875000,0.049)

如图,蓝色是所还利息,红色是所还本金。可以看出本金每月不变,利息逐月递减的特征。
等额本息情况下:
drawDiagram(12*20,averageCapitalPlusInterest,875000,0.049)

也能看出所绘图形和等额本息的含义基本一致。
另外部分城市可以公积金贷款,以杭州为例,目前杭州公积金充足情况下可贷50w-60w,这里考虑一下公积金的情况:
defaverageCapitalWithPublicFund(months,principal1,rate1,principal2,rate2):a,b,c=averageCapital(months,principal1,rate1)a1,b1,c1=averageCapital(months,principal2,rate2)([a,a1],axis=0).tolist(),([b,b1],axis=0).tolist(),([c,c1],axis=0).tolist()
drawTable(12*20,averageCapitalWithPublicFund,700000,0.041,300000,0.031)[0:10]

这里算了下商贷70w(利率4.1%),公积金贷30w(利率3.1%)下组合贷款的情况,和微信小程序房小团的计算是一致的。
再来讨论下提前还款。如果知乎文中买房的那位,在贷款1年后提前还款10w会怎样呢?了解一点背景知识的朋友,都知晓提前还款分两种情况:
年限不变,月供减少
年限缩短,月供不变
现在分情况讨论,并给出计算函数。
注:notebook中所有计算结果均在微信房小团小程序上得到互相验证。
年限不变,月供减少这种情况下,相当于在提前还款月之后重新做了一次贷款。我们首先对刚刚的计算函数进行一定的简化,抽象一下公共的部分。
defnormalPaid(months,principal,rate,capitalAveraged):month_rate=rate/12monthly_capital=principal/monthsmonthly_payment=principal*month_rate*(1+month_rate)**months/((1+month_rate)**months-1)interests=[0]*monthscapitals=[0]*monthsleft_principal=[0]*monthsleft_principal[0]=principaltotal_payment=[0]*monthsforiinrange(0,months):interests[i]=left_principal[i]*month_rateifcapitalAveraged:capitals[i]=monthly_capitaltotal_payment[i]=monthly_capital+interests[i]else:total_payment[i]=monthly_paymentcapitals[i]=total_payment[i]-interests[i]ifi+1months:left_principal[i+1]=left_principal[i]-capitals[i]returncapitals,interests,total_payment
drawTable(12*20,normalPaid,875000,0.049,False)[10:14]

drawTable(12*20,normalPaid,875000,0.049,True)[10:14]

可以看到抽象出公共结构后,前后的计算结果并没有发生变化。
考虑年限不变提前还款的情况,这里将每次提前还款的时间和金额组成python的元组,若干个(账期,还款金额)元组组成一个list输入函数。函数首先计算正常情况下的还款信息,而后根据提前还款信息,修改提前还款日的剩余本金,并从各个提前还款日重新计算剩余还款。
defextraPaidWithFixedPeriod(months,principal,rate,capitalAveraged,extraPaidList:list):capitals,interests,total_payment=normalPaid(months,principal,rate,capitalAveraged)(key=lambdax:x[0])originCapital,originInterests,originTotal=(),(),total_()left_principal=[0]*monthsleft_principal[0]=principalforxinrange(0,months):ifxmonths-1:left_principal[x+1]=left_principal[x]-capitals[x]defnormalPaidOffset(left_months,principal,rate,capitalAveraged,offset):month_rate=rate/12monthly_capital=left_principal[offset]/left_monthsmonthly_payment=left_principal[offset]*month_rate*(1+month_rate)**left_months/((1+month_rate)**left_months-1)foriinrange(0,left_months):interests[offset+i]=left_principal[offset+i]*month_rateifcapitalAveraged:capitals[offset+i]=monthly_capitaltotal_payment[offset+i]=monthly_capital+interests[offset+i]else:total_payment[offset+i]=monthly_paymentcapitals[offset+i]=total_payment[offset+i]-interests[offset+i]ifi==0:print("次月还款%.2f"%total_payment[offset+i])ifoffset+i+1months:left_principal[offset+i+1]=left_principal[offset+i]-capitals[offset+i]returnforx,yinextraPaidList:capitals[x]=capitals[x]+yleft_principal[x+1]=left_principal[x]-capitals[x]total_payment[x]=capitals[x]+interests[x]print("当月需还%.f剩余本金%.f"%(total_payment[x],left_principal[x+1]))normalPaidOffset(months-x-1,left_principal[x+1],rate,capitalAveraged,x+1)printStatistics(originCapital,originInterests,originTotal,months)print("")printStatistics(capitals,interests,total_payment,months)print("节省利息%.2f"%((originInterests)-(interests)))returncapitals,interests,total_payment,originTotal,originInterests再定义几个函数对提前还款节省的利息进行可视化。
defdrawDiagramExtraPaid(months,capitals,interests,originalTotal,originalInterests,showOriginTotal=True):month_array=(1,months+1,1)capital_with_origin_interest=[0]*monthsheight=interestsforxinrange(1,months):capital_with_origin_interest[x]=capitals[x]+originalInterests[x]l1=(month_array,originalTotalifshowOriginTotalelsecapital_with_origin_interest,width=0.2,align='center',color='yellow')l2=(month_array,capitals,width=0.2,align='center',color='red')l3=(month_array,interests,width=0.2,align='center',color='blue',bottom=capitals)华为云开发者联盟#
推荐阅读
-
唱歌电脑需要什么配置,电脑唱歌电脑配置,唱歌电脑配置要求
根据苹果官网查询,苹果MacBookPro是一款性能非常出色的笔记本电脑,采用英特尔酷睿2双核处理...
-
超大平板、学习机、云电脑……这个“智慧中屏”把家变成万能数字舱
中国电信上海公司捕捉年轻人的最新需求,定制打造“闺蜜机·智慧中屏”,结合中国电信上海...
-
2024有什么好玩的电脑网游(10款新端游解决游戏荒!)
《边境》上线时间:4月14日《边境》由柳叶刀工作室制作,虎牙发行,是一款近未来太空题材...
-
电脑主板电池没电了的表现以及解决方法-华力学校
就比较好理解了,没有了主板电池,会出现以下几种现象:1、电脑每次开机,时间都会恢复到...
-
神州数码半年净利2.04亿元 云计算成新增长点
张赐安表示神州数码集团旗下神州云计算已具备多方通信牌照,在北京和贵州两地建设数据中...
-
「上手」华为平板M6体验:可以是影音工具,也可以是儿童平板
而另一款屏幕更大的10.8英寸华为平板M6,则能在目前分屏的基础上,同时开启同一个软件的不...
-
整机烈士墙?对于执意要在网上买电脑整机的,我只能说:敬勇士
但事实真的是那样吗,我们看下它的具体配置:到这里我们就发现猫腻了:首先所谓的i7处理器...
-
荣耀平板MagicPad3发布,AI体验大有不同!
值得一提的是,荣耀平板MagicPad3是行业内首家免费开放一键生成PPT功能,这对于日常有重度P...
-
IBM计划10年内建成10万量子比特的量子计算机,与两所大学合作
IBM的愿景是,10万量子比特的量子计算机与最好的经典超级计算机一起工作,在药物发现、肥料...
-
爱奇艺极速版在哪修改手机号
爱奇艺极速版是一款以中老年用户为主的视频播放软件,这里除能为各人带来各类风趣的视频...